1. The ratio of the measures of the three angles in a triangle is 2: 9 : 4. Find the measures of the angles. Show all work.
small angle:__________
middle angle:__________
big angle:__________
Question 2
2.
Question 3
3.
Question 4
4.
Question 5
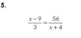
5.
2. The ratio of the measures of the sides of a triangle is 21:8:4. If the perimeter of the triangle is 165 inches, find the length of the shortest side.