Mutations 2026
star
star
star
star
star
Last updated about 1 month ago
15 questions
1
1
1
1
1
1
1
1
1
1
1
1
1
| Draggable item | arrow_right_alt | Corresponding Item |
|---|---|---|
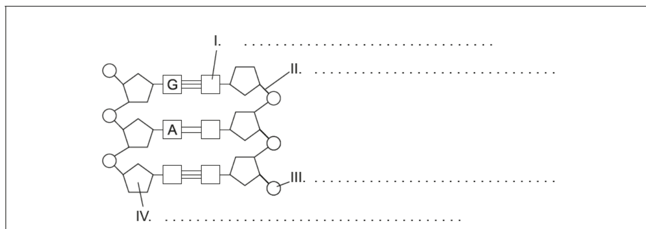
What bases will you find in DNA | arrow_right_alt | A, T , C , G |
What bases will you find in RNA | arrow_right_alt | A, U , C , G |
How many stands are in DNA | arrow_right_alt | 2 |
How many stands are in RNA | arrow_right_alt | 1 |
