Log in
Sign up for FREE
arrow_back
Library
Pre-Calculus Quiz 3.1-3.3 (no calculator)
By Kristen Ekhoff
star
star
star
star
star
Share
share
Last updated almost 8 years ago
11 questions
Add this activity
1
zoom_in
1 point
1
Question 1
1.
A
B
C
D
E
2
3
zoom_in
1 point
1
Question 2
2.
A
B
C
D
E
1 point
1
Question 3
3.
A
B
C
D
E
4
5
6
zoom_in
1 point
1
Question 4
4.
A
B
C
D
E
1 point
1
Question 5
5.
A
B
C
D
E
1 point
1
Question 6
6.
A
B
C
D
E
7
8
zoom_in
1 point
1
Question 7
7.
A
B
C
D
E
1 point
1
Question 8
8.
A
B
C
D
E
9
zoom_in
1 point
1
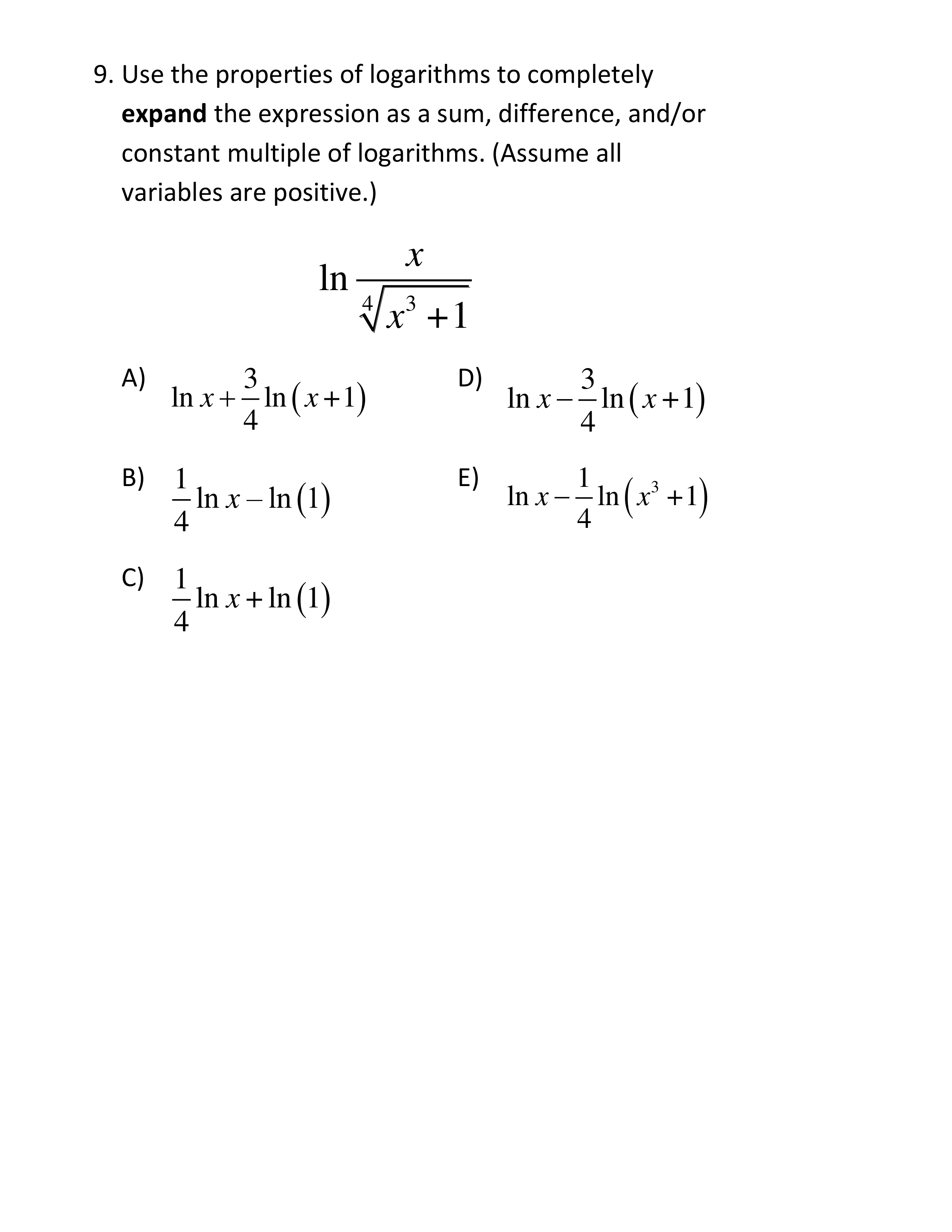
Question 9
9.
A
B
C
D
E
10
11
zoom_in
1 point
1
Question 10
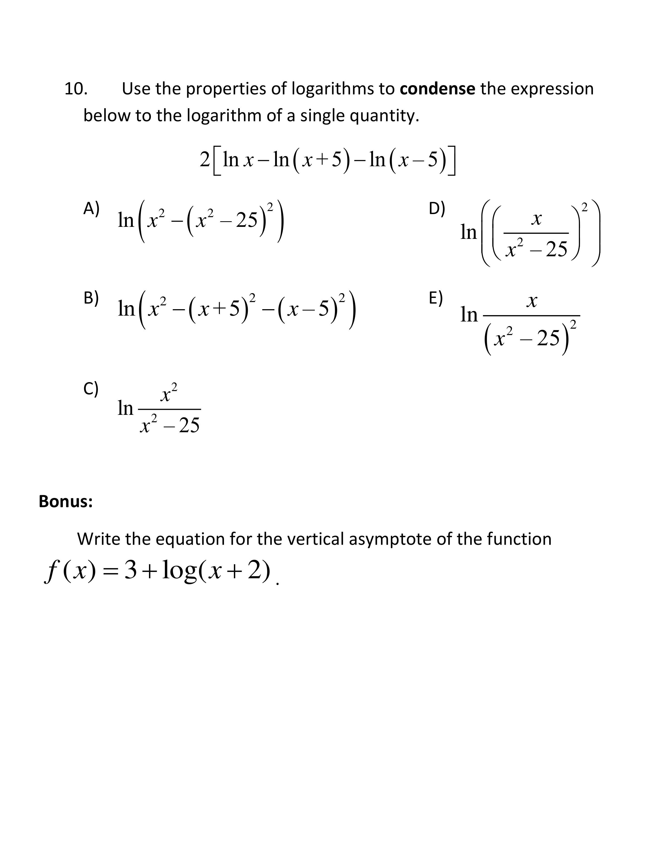
10.
A
B
C
D
E
1 point
1
Question 11
11.
EQUATION of the vertical asymptote: