Log in
Sign up for FREE
arrow_back
Library
Vocabulary quiz 03/09/2018
By Christopher Grigg
star
star
star
star
star
Share
share
Last updated over 3 years ago
25 questions
Add this activity
1
1
1
1
1
1
1
1
1
1
1
1
1
1
1
1
1
1
1
1
1
1
1
1
1
Question 1
1.
Offspring that are the result of sexual reproduction are:
never identical to the parents
sometimes identical to the parents
always identical to the parents
identical to other offspring
Question 2
2.
Which of the following organisms reproduce sexually?
humans
plants
both a and b
none of the above
Question 3
3.
Which of the following is an example of asexual reproduction?
a fish releases sperm which unites with an egg of another fish
a worm is split in two; each half grows back into a complete worm
a gray cat is the offspring of a black cat and a white cat
flowers from two different plants are mated to produce a seed
Question 4
4.
Which of the following statements is TRUE?
only single-celled organisms can reproduce sexually
only single-celled organisms can reproduce asexually
only multicellular organisms can reproduce asexually
none of the above
Question 5
5.
Process by which organisms make exact copies of themselves without the union of gametes (sperm and egg cells).
prototype
asexual reproduction
sexual reproduction
clone
Question 6
6.
A change in the DNA of a gene that can lead to a different trait.
regulation
prototype
range
mutation
Question 7
7.
An offspring produced by asexual reproduction, either naturally or through artificial processes.
gene
clone
regulation
prototype
Question 8
8.
An individual’s pair of alleles for a specific gene or group of genes that determine a trait.
heterozygous
homozygous
genotype
phenotype
Question 9
9.
An organism’s observable traits.
heterozygous
homozygous
genotype
phenotype
Question 10
10.
An organism that has two identical alleles for a specific trait.
heterozygous
homozygous
genotype
phenotype
Question 11
11.
An organism that has two different alleles for a specific trait.
homozygous
genotype
heterozygous
phenotype
Question 12
12.
A genetic trait is represented by the letter “a.” Which of the following would most likely be used to represent the recessive condition?
AA
Aa
aa
none of the above
Question 13
13.
In the table shown above, the empty square should be filled in as:
RR
Rr
rr
RRrr
Question 14
14.
In the table shown above, among the offspring, what is the ratio of dominant to recessive for this trait?
3:1
1:3
2:2
1:2:3
Question 15
15.
In the table shown above, the dominant condition of this characteristic is represented by:
RR, Rr, and rr
RR and Rr
RR and rr
Rr and rr
Question 16
16.
In the table shown above, the probability of traits in offspring is a result of:
asexual reproduction
sexual reproduction
both a and b
none of the above
Question 17
17.
One of the first people to study patterns of heredity scientifically was:
Mary-Claire King
Robert Hooke
Antoine Marfan
Gregor Mendel
Question 18
18.
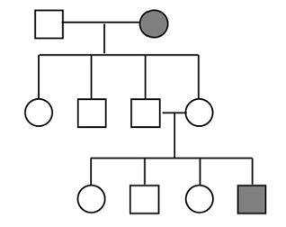
Look at the shaded inividuals. They have By studying the diagram, you can conclude that the trait is:
dominant
recessive
co-dominant
both dominant and recessive
Question 19
19.
Most human cells have ____ copies of each chromosome.
2
4
10
25
Question 20
20.
Which genotype is homozygous recessive
Bo
Bb
bb
BB
Question 21
21.
Which genotype is homozygous dominant
Bo
Bb
bb
BB
Question 22
22.
Which blood genotype is co-dominant?
Ao
Bo
AB
BB
Question 23
23.
Two parents are both carriers for a genetic trait that is based on only one gene. This means that their offspring:
cannot have the trait
will all be carriers for the trait
have a 25% chance of inheriting the trait
have a 50% chance of inheriting the trait
Question 24
24.
What is an example of a phenotype with incomplete dominance?
Question 25
25.
What is the difference between a genetic carrier and a virus carrier?