Log in
Sign up for FREE
arrow_back
Library
1.2 Powers and Exponents Indep. Practice
By Eddie Carrillo
star
star
star
star
star
Share
share
Last updated 9 months ago
21 questions
Add this activity
1
2
3
zoom_in
1
1
1
Question 1
1.
A
B
C
D
Question 2
2.
A
B
C
D
Question 3
3.
A
B
C
D
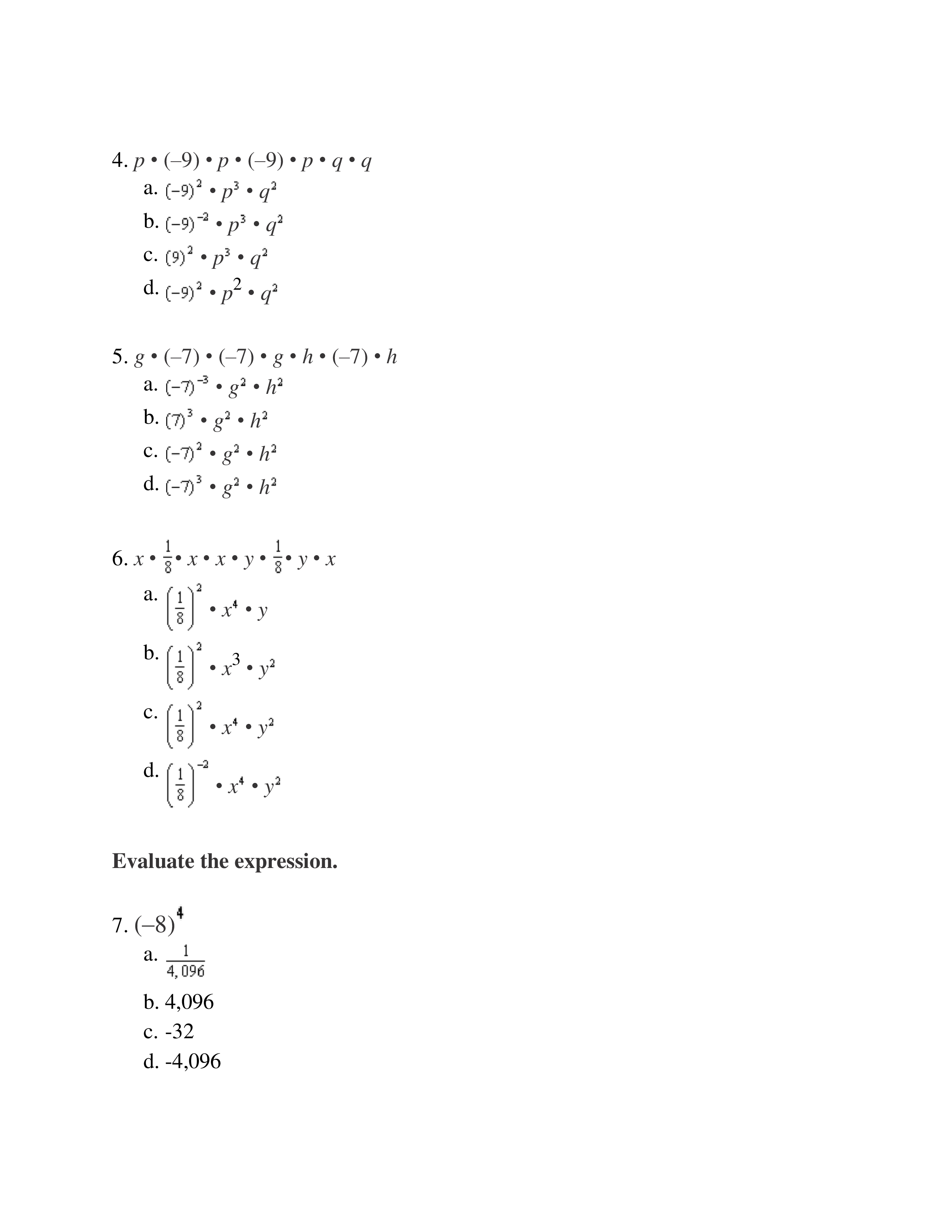
4
5
6
7
zoom_in
1
1
1
1
8
9
10
11
zoom_in
1
1
1
1
12
13
14
15
16
zoom_in
1
1
1
1
1
17
18
19
20
21
zoom_in
1
1
1
1
1
Question 4
4.
A
B
C
D
Question 5
5.
A
B
C
D
Question 6
6.
A
B
C
D
Question 7
7.
A
B
C
D
Question 8
8.
A
B
C
D
Question 9
9.
A
B
C
D
Question 10
10.
A
B
C
D
Question 11
11.
A
B
C
D
Question 12
12.
A
B
C
D
Question 13
13.
A
B
C
D
Question 14
14.
A
B
C
D
Question 15
15.
A
B
C
D
Question 16
16.
A
B
C
D
Question 17
17.
A
B
C
D
Question 18
18.
A
B
C
D
Question 19
19.
A
B
C
D
Question 20
20.
A
B
C
D
Question 21
21.
A
B
C
D