Log in
Sign up for FREE
arrow_back
Library
On My Own Chap 1 Lesson 6
By Kelsey Franz
star
star
star
star
star
Share
share
Last updated almost 6 years ago
4 questions
Add this activity
1
Question 1
1.
Write this number in standard form
1
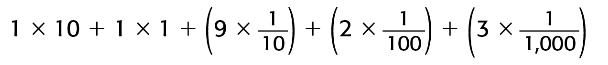
Question 2
2.
1
1
Write this number in standard form
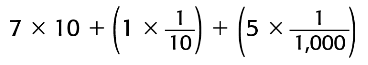
REMEMBER!
To write a fraction in go formative it looks like this: 1/10 1/100 1/1000
Example of expanded form from above:
(7x10) + (1x1/10) + (5x1000)
Question 3
3.
Write this number in expanded form
5.003
Question 4
4.
Write this number in expanded form
0.917