Do Now for Monday 4/16/20
star
star
star
star
star
Last updated over 7 years ago
4 questions
Note from the author:
ARMS Math 8
1
What number represents the expression shown when simplified? Write your answer as a whole number or fraction in simplest terms.
What number represents the expression shown when simplified? Write your answer as a whole number or fraction in simplest terms.
1
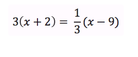
What value represents the solution of the equation shown?
What value represents the solution of the equation shown?
1
The graph and table shown represent the speed of Kevin and Bill during a recent trip. What is the difference in the rate of change between the two men's speeds?
The graph and table shown represent the speed of Kevin and Bill during a recent trip. What is the difference in the rate of change between the two men's speeds?
1
For every $3.00 donated to a certain charity by Club A, $1.25 was donated by Club B. If the combined total amount donated to the charity by both clubs was $25,500, how much did Club A donate? Write the numbers only. Do not use the dollar sign, comma or a decimal.
For every $3.00 donated to a certain charity by Club A, $1.25 was donated by Club B. If the combined total amount donated to the charity by both clubs was $25,500, how much did Club A donate? Write the numbers only. Do not use the dollar sign, comma or a decimal.


