Solving Absolute Value Equations
star
star
star
star
star
Last updated almost 8 years ago
5 questions
Note from the author:
Solving Absolute Value Equations (Algebra 1/Math 1)
1
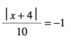
Solve the absolute value equation above.
Solve the absolute value equation above.
1
Solve the absolute value equation above.
Solve the absolute value equation above.
1
Solve the absolute value equation above.
Solve the absolute value equation above.
1
Solve the absolute value equation above.
Solve the absolute value equation above.
1
Solve the absolute value equation above.
Solve the absolute value equation above.




