Piecewise Functions
star
star
star
star
star
Last updated almost 8 years ago
5 questions
Note from the author:
Piecewise Functions (Algebra 2/Math 3)
10
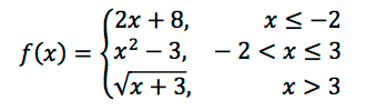
Evaluate f(3) in the piecewise function above.
Evaluate f(3) in the piecewise function above.
10
Evaluate f(-2) in the piecewise function above.
Evaluate f(-2) in the piecewise function above.
10
Evaluate f(-3) in the piecewise function above.
Evaluate f(-3) in the piecewise function above.
10
Evaluate f(-1) in the piecewise function above.
Evaluate f(-1) in the piecewise function above.
10
What is the domain of the piecewise function above?
What is the domain of the piecewise function above?


