Because I Said I Would
star
star
star
star
star
Last updated over 5 years ago
20 questions
Note from the author:
This Formative is a supplement to a HyperDoc. It is meant as a goal-setting/soft skills lesson to help students learn to make and keep promises they make to themselves. It is also meant to motivate and teach them how to write professional emails.
1
How does Aby exemplify or demonstrate the "because I said I would" code of honor?
How does Aby exemplify or demonstrate the "because I said I would" code of honor?

1
1
1
1
1
1
1
1
1
1
1
1
1
1
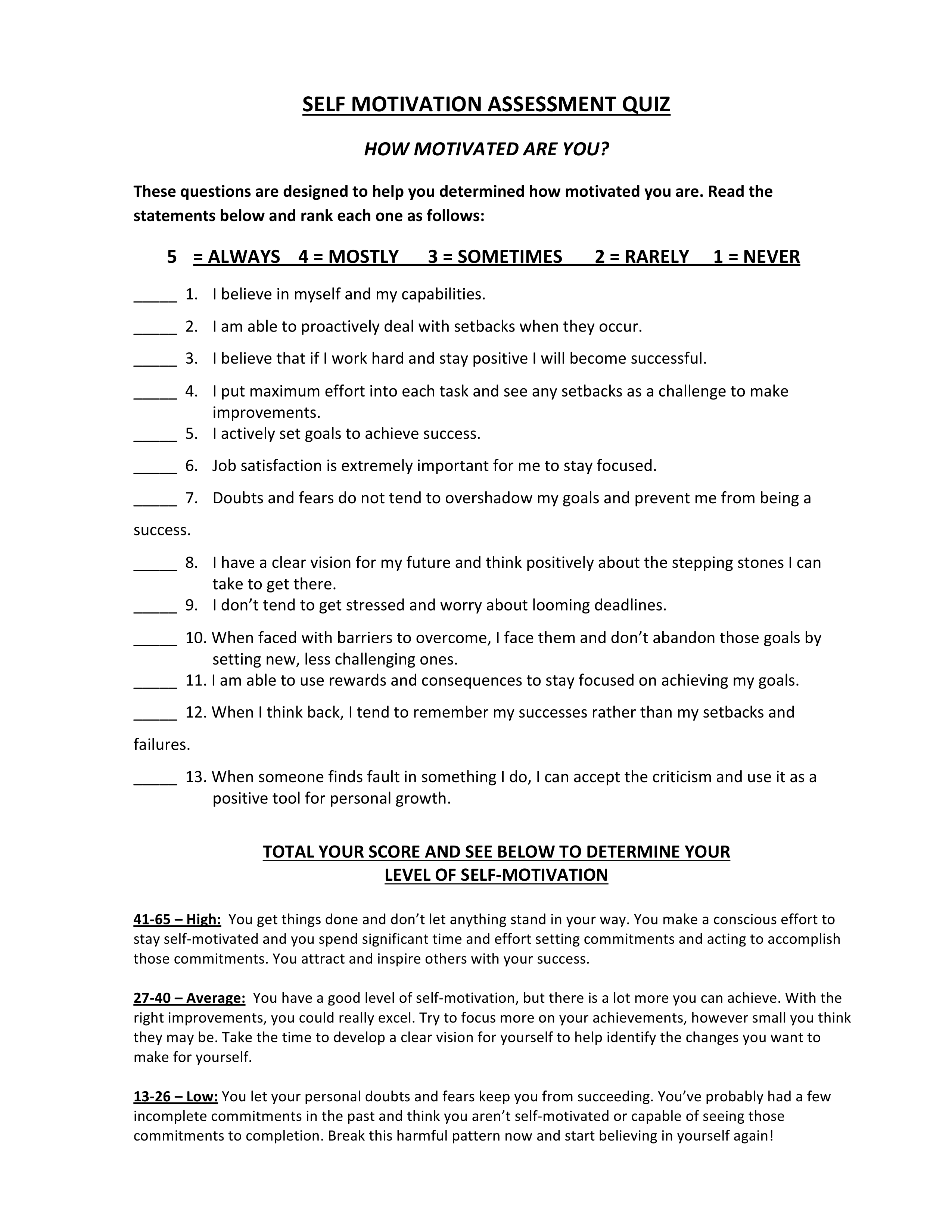
Based on the results of your Self-Motivation Assessment Quiz, what is your level of self-motivation?
Based on the results of your Self-Motivation Assessment Quiz, what is your level of self-motivation?


1
Based on the sentence and what you have read so far, what do you think the word, "incorruptibility" means?
Based on the sentence and what you have read so far, what do you think the word, "incorruptibility" means?

1
In your own words, describe the three tips to help you keep a promise to yourself.
In your own words, describe the three tips to help you keep a promise to yourself.
1
Now, make a promise to yourself. What is your promise?
Now, make a promise to yourself. What is your promise?
1
In the space below, compose a letter that you will be sending to Aby. Please share your thoughts about her story and then share the promise you made to yourself with her. Please write a minimum of 5 sentences. After I have reviewed your writing, please make the suggested changes.
In the space below, compose a letter that you will be sending to Aby. Please share your thoughts about her story and then share the promise you made to yourself with her. Please write a minimum of 5 sentences. After I have reviewed your writing, please make the suggested changes.
1
Send your letter to Aby:1. Copy your letter.2. Open your gmail account and paste your letter.3. Though your email will be written to Aby, I want you to send it to me at msashlylcot@gmail.com. Remember to use the email etiquette tips from the video. I will then forward your letters to Aby.
Send your letter to Aby:
1. Copy your letter.
2. Open your gmail account and paste your letter.
3. Though your email will be written to Aby, I want you to send it to me at msashlylcot@gmail.com. Remember to use the email etiquette tips from the video. I will then forward your letters to Aby.





