G6 Task 1 | Expressions & Equations
star
star
star
star
star
Last updated over 7 years ago
27 questions
Note from the author:
Expression and Equations Task

1

1
1
1
1
1
1

1
1
1

1
1

1
1
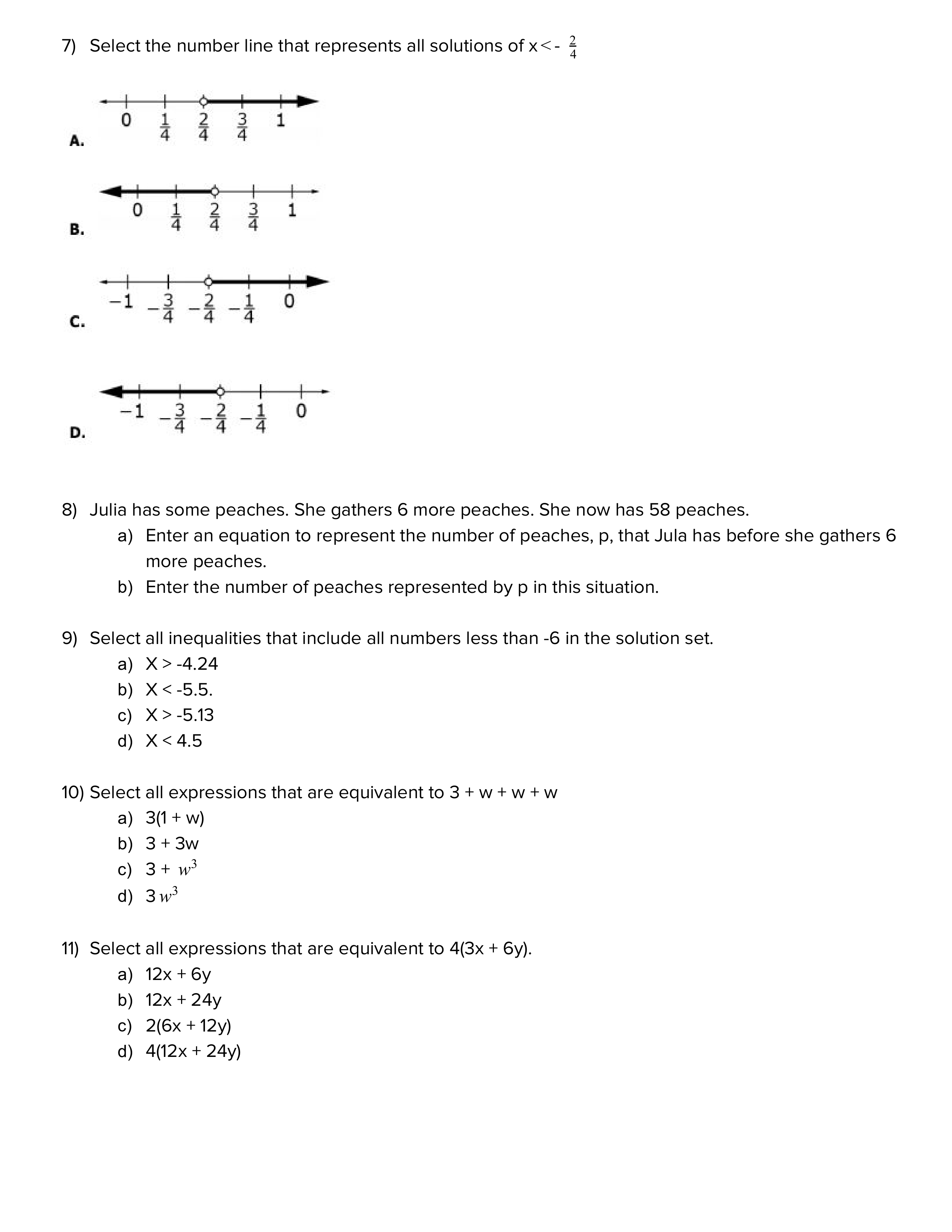
Please use "p" as the variable
Please use "p" as the variable
1
1
1
1

1
1
1
1
1
Use ^ for exponents. For example if x is squared, write it as "x^2"
Use ^ for exponents. For example if x is squared, write it as "x^2"
1

1
1
1