201 #8,9,11
star
star
star
star
star
Last updated almost 5 years ago
3 questions
1
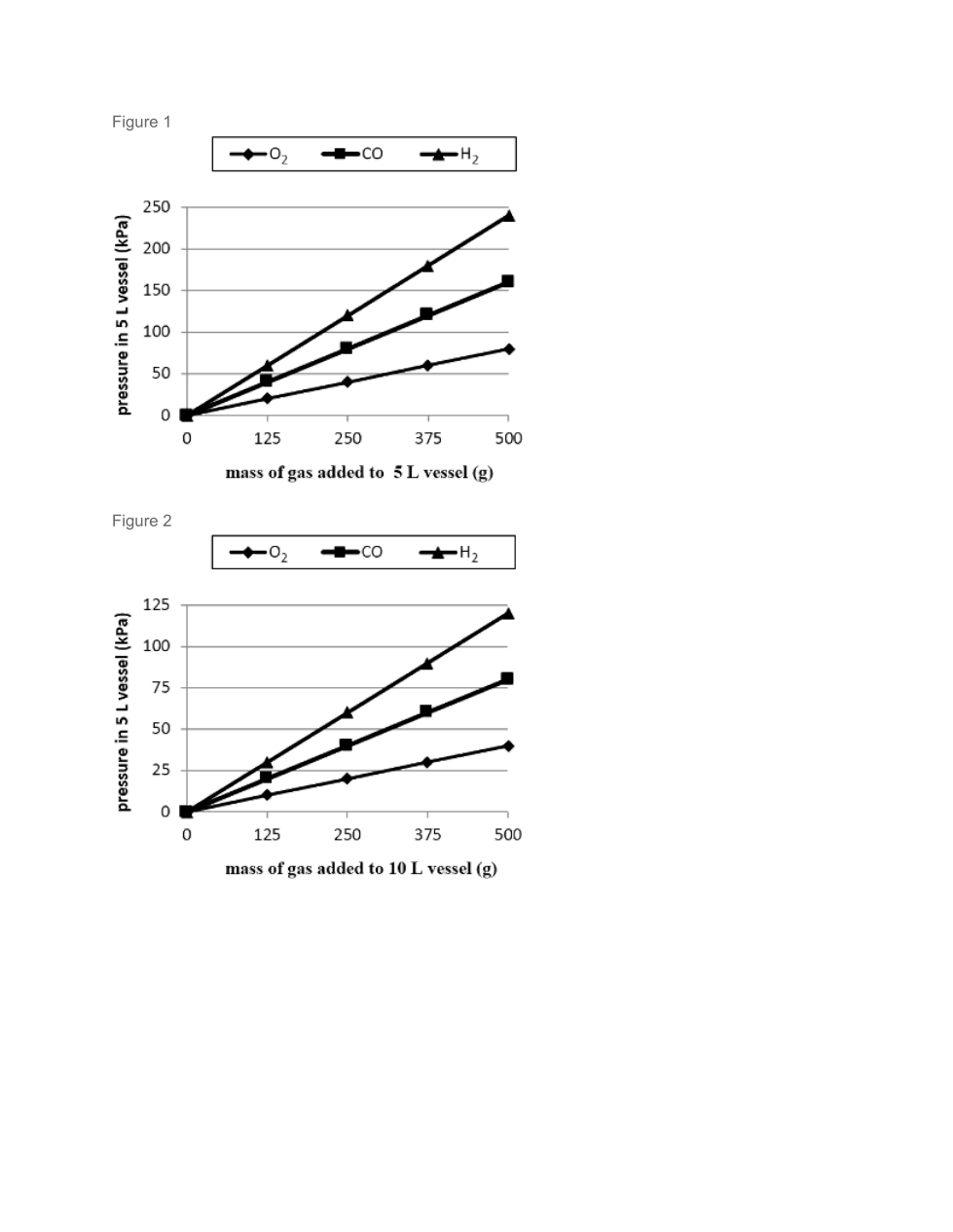
Based on Figure 2, how many grams of CO
would the chemist have to add to the 10 L vessel
in order to create approximately 50 kPa of
pressure inside the vessel?
Based on Figure 2, how many grams of CO
would the chemist have to add to the 10 L vessel
in order to create approximately 50 kPa of
pressure inside the vessel?
1
Suppose the chemist had repeated Steps 1-6
using a 7 L vessel. Based on Figures 1 and 2, the
pressure created inside the vessel by 500 grams
of oxygen gas would most likely have been:
Suppose the chemist had repeated Steps 1-6
using a 7 L vessel. Based on Figures 1 and 2, the
pressure created inside the vessel by 500 grams
of oxygen gas would most likely have been:
1
Based on Figures 1 and 2, for a given mass of
H2 at 23 °C, how does the pressure created by
the H2 gas in the 5 L vessel compare to the
pressure created by the H2 gas in the 10 L
vessel? In the 10 L vessel, the pressure will be:
Based on Figures 1 and 2, for a given mass of
H2 at 23 °C, how does the pressure created by
the H2 gas in the 5 L vessel compare to the
pressure created by the H2 gas in the 10 L
vessel? In the 10 L vessel, the pressure will be:

